News   GLOBAL  |  Apr 02, 2020
 10K     0 
News   GLOBAL  |  Apr 01, 2020
 42K     0 
News   GLOBAL  |  Apr 01, 2020
 6K     0 

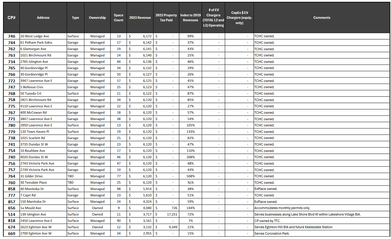
I have some data to share on parking lots, many of which may be suitable for housing, which I think all UT'ers but particularly @HousingNowTO may find useful.


At the above link to an appendix to a report heading to the next meeting of the Toronto Parking Authority is an extensive list of their properties, whether they are owned/managed, total revenue in 2023 relative to 2019 (expressed as a percentage), the total revenue of the lot in 2023 in absolute dollars and the rationale for the lot (in some cases).

I don't want to copy/paste the entire list, you can follow the link, but I will take one page to illustrate:

1710864826081.png


The list is ordered by 2023 revenue from high to low.

As you can see, this particular page which shows many lots managed for TCHC is of interest for fairly low revenues. Not all of these are development candidates, you can see some sites are quite small, when you look at the parking space count.

But by quickly sorting sites that should be available as they have low financial return; you can then re-sort those same to see sites that may be large enough to build more housing. * some sites are encumbered in one fashion or another.

The underlying report is here:


I may cross-post this to the parking thread, but it struck me as really good research material for publicly owned land that can be repurposed.
 
Last edited:
I have some data to share on parking lots, many of which may be suitable for housing, which I think all UT'ers but particularly @HousingNowTO may find useful.


At the above link to an appendix to a report heading to the next meeting of the Toronto Parking Authority is an extensive list of their properties, whether they are owned/managed, total revenue in 2023 relative to 2019 (expressed as a percentage), the total revenue of the lot in 2023 in absolute dollars and the rationale for the lot (in some cases).

I don't want to copy/paste the entire list, you can follow the link, but I will take one page to illustrate:

View attachment 549531

The list is ordered by 2023 revenue from high to low.

As you can see, this particular pages which shows many lots managed for TCHC is of interest for fairly low revenues. Not all of these are development candidates, you can see some sites are quite small, when you look at the parking space count.

But by quickly sorting sites that should be available as they have low financial return; you can then re-sort those same to see site that may be large enough to build more housing. * some sites are encumbered in one fashion or another.

The underlying report is here:


I may cross-post this to the parking thread, but it struck me as really good research material for publicly owned land that can be repurposed.
Thanks..! What specific agenda item in TMMIS does this Appendix A chart document come from..?
 
The report on maximizing the City's real estate portfolio, including, but not limited to parking lots and TTC sites for affordable housing was at Council today.

It was adopted, with amendments:

1711048685542.png


1711048751334.png



A link back to the item:


Finally.........lets look at the parking lot Councillor Fletcher has prioritized for @HousingNowTO

Ha, no wonder............ Green P hasn't even demo'd the building.....at least in the last Streetview::

1711048969111.png


Its the empty site w/the Bikeshare plus the building to the right.
 
The report on maximizing the City's real estate portfolio, including, but not limited to parking lots and TTC sites for affordable housing was at Council today.

It was adopted, with amendments:

View attachment 550079

View attachment 550081


A link back to the item:


Finally.........lets look at the parking lot Councillor Fletcher has prioritized for @HousingNowTO

Ha, no wonder............ Green P hasn't even demo'd the building.....at least in the last Streetview::

View attachment 550082

Its the empty site w/the Bikeshare plus the building to the right.
I can't wait for the insane NIMBY excuses why nothing can be built here lol.
 
No; but Green P (The Parking Authority) acquired it for that that purpose, it just deferred the capital expense of building it.
We would need to go back in the time-machine to look at the 596 GERRARD EAST site HISTORY -- but generally assume there was once a Development site proposed there -- and the GREEN-P cash was "magically" used to buy the proponent out and make the controversial project "go away" for a while... THAT was the History of one of the sites that our TMU teams worked on --- and we have seen that pattern repeat all-over the City over the last 50-years...

Site_HISTORY_1113_DUNDAS_ST_W_TPA_HIGHLIGHT.png
 
We would need to go back in the time-machine to look at the 596 GERRARD EAST site HISTORY -- but generally assume there was once a Development site proposed there -- and the GREEN-P cash was "magically" used to buy the proponent out and make the controversial project "go away" for a while... THAT was the History of one of the sites that our TMU teams worked on --- and we have seen that pattern repeat all-over the City over the last 50-years...

You and I previously discussed this parcel in 2021, in this thread:


I'd pretty much forgotten about it, LOL, but @AlbertC found it.

This ihe report from 2015 that kicked off its acquisition.


I couldn't then and don't now see a record of potential development; BUT, the fact the money was a reallocation w/o prior notice, advancing property acquisition by several years is suggestive that there was some unexplained
urgency to it. Hmmm.

Regardless, at least haven't yet wasted it on parking, although that site has been sitting vacant now for...........9 years...........
 
This item on the Executive Ctte agenda for next week is just a simple endorsement letter of a TDSB request to the province, but its important nonetheless.

The gist is seeking regulatory flexibility such that the TDSB would no longer be required to dispose of its surplus properties at full market value with an eye to supporting affordable housing.


From the above:

1712069411927.png

**
1712069461538.png

@HousingNowTO
 
Report to the next meeting of CreateTO updating various projects, I will place the info in the individual threads as I work my way through:


Edit to add, at the very end of the of report, there is this:

1713190539558.png


This is something that @HousingNowTO and I have both plugged away on; and the Mayor publicly suggested was being imminently resolved........ again, to the players, urgency. I could write the terms above in my sleep in a way that would work for everyone, get it done.
 
Last edited:
The Star out with an article today talking about all the construction delays that have beset the Housing Now program:


UT's own @HousingNowTO is quoted; and is entirely on point, if inordinately kind, LOL.

All of the senior executive actors at the City, with the Housing Program (Bond) and CreateTO (Gupta) should be shown the door.

The responsibility is not theirs alone, the Feds in the form of CMHC in particular have been phenomenally slow in approving necessary financing.

That said....

*******

The first problem on day one here was always that a broad envelope of CMHC approved financing needed to be available to the City of Toronto corporately from the beginning of the process, with the assignment of same to
specific projects a mere formality, and one handled with an 'express lane' speed.

There are certainly other hold-ups from appeals, to having to complete supporting infrastructure, and in some cases, density really did need to be more (putting aside desirability or changing interest rates, the viability of some projects was borderline the day they were approved.)

But the financing here, along with a no urgency, "what housing crisis attitude" to under achievement with no accountability for failure to deliver is what has brought us here.

Even the very tall project proposed at 260 Adelaide, with famously efficient and organized Centre Court as the partner has yet to lift off. I would love to hear Centre Court's take on that.......inbox is open. *

* I know some of the problems such as not having completed the replacement fire station; what I'd like to know is...........why has that not happened?
 
Last edited:

Back
Top